La diversificazione geopolitica fa crescere il commercio cinese
La firma dell’accordo iniziale fra Usa e Cina, che sostanzialmente impegna gli Usa a ridurre i dazi e i cinesi a comprare più merci americane – e in particolare più risorse energetiche e beni primari – oltre che ad adottare pratiche più amichevoli nei confronti delle imprese americane, raffredda la tensione commerciale fra i due paesi che ha avuto conseguenze notevoli sui flussi commerciali globali, con risultati per certi versi sorprendenti.
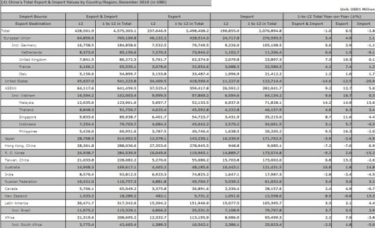
I dati diffusi dal governo cinese sul commercio estero nel 2019, infatti, mostrano che malgrado la dura tenzone commerciale con gli Usa, in sostanza il mercato principale dell’export cinese, che ha condotto a un calo robusto delle esportazioni (-12,5% nel 2018 rispetto al 2018, a 295,8 miliardi), complessivamente l’export totale cinese è cresciuto dello 0,5%. I dati si possono consultare integralmente dalla tabella sotto.
Il totale di export e import del 2019 è risultato di circa 4,575 trilioni di dollari, con export pari a 2,498 trilioni e import per 2,076. Il saldo 2019, quindi si colloca a circa 422 miliardi, in decisa crescita rispetto al saldo 2018, quando le esportazioni totali erano state pari a circa 2,487 trilioni e l’import 2,135, per un saldo di circa 350 miliardi.
A questi risultati ha sicuramente concorso il calo delle importazioni, diminuite globalmente del 2,8% nel 2018 a fronte dell’aumento del 15,8% nel 2018. Altrettanto significativo è il fatto che le importazioni dagli Usa siano crollate di oltre il 20%. Parliamo di oltre 30 miliardi di produzione Usa, molta parte della quale è stata pagata dal settore energetico, come mostra questo grafico pubblicato da Bloomberg.
Le tensioni commerciali le pagano innanzitutto i produttori ovviamente, e quelli Usa non fanno certo eccezione. Ma certo è notevole la circostanza che ciò malgrado il saldo commerciale cinese sia cresciuto così ampiamente. E una delle ragioni, a parte il calo delle importazioni cinesi, risiede nel fatto che al calo del deficit bilaterale degli Usa nei confronti della Cina ha corrisposto un aumento dei deficit bilaterale di molti degli altri partner commerciali di Pechino. Il conto dei dazi, insomma, li pagano anche quelli che non c’entrano con la guerra commerciale.
L’export cinese nel 2019, infatti, è cresciuto di una ventina di miliardi, rispetto al 2018, nei confronti dell’Europa e del doppio nei paesi Asean, ed è arrivato a superare i 151 miliardi nell’America Latina, con il Brasile a guidare la classifica con oltre 115 miliardi di importazioni cinesi. I paesi interessati dalla Bri, quindi, verso i quali la Cina investe decine di miliardi al mese, ricambiano affettuosamente le attenzioni di Pechino. Il governo cinese, infatti, si è affrettato a far sapere che il commercio con i partner della Belt and Road initiative ha raggiunto un volume di transazioni di 1,34 trilioni di dollari, in crescita del 10,8%. La Cina è diventato il principale partner commerciale di 25 di questi paesi.
Ciò per dire che la firma del primo accordo con gli Usa, che dovrebbe (e mai condizionale fu più d’obbligo) svelenire una clima economico poco adatto alla crescita globale non può celare il fatto che la guerra commerciale ha avuto già un effetto evidente: è servita a diminuire il deficit bilaterale degli Usa verso la Cina, come voleva Trump, ma al costo di un sostanziale peggioramento di quello del resto del mondo nei confronti di Pechino. E alla fine dei conti, la Cina ci ha pure guadagnato. Diversificare è stato l’asso nella manica dei cinesi. Gli Usa sono ancora il primo cliente dei cinesi. Ma il resto del mondo, con il quale la Cina intrattiene rapporti commerciali sempre più intensi, è il secondo. Per ora.



